Γενική θεωρία ηλεκτρομαγνητισμού

 Εξισώσεις του Μάξγουελ
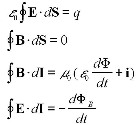
Οι τέσσερεις βασικές εξισώσεις του ηλεκτρομαγνητισμού, γνωστές και σαν εξισώσεις του Μάξγουελ.

Το 1867 ένας πολύ σημαντικός θεωρητικός φυσικός, ο Τζέημς Μάξγουελ (James Clerk Maxwell) έκανε μια σπουδαία τομή στην κατανόηση του ηλεκτρομαγνητισμού. Συνόψισε όλα τα γνωστά ηλεκτρομαγνητικά φαινόμενα σε τέσσερις μόνο μαθηματικές εξισώσεις.
Απ’ αυτές προέκυπτε ότι η ταλάντωση ενός ηλεκτρικού φορτίου έχει ως αποτέλεσμα την εκπομπή ηλεκτρομαγνητικών κυμάτων και οτι τα κύματα αυτά διαδίδονται στο χώρο με την ταχύτητα του φωτός.
Αυτό τον οδήγησε να συμπεράνει -σωστά όπως αποδείχθηκε αργότερα- ότι το φως δεν είναι παρά μια από τις πολλές μορφές των ηλεκτρομαγνητικών κυμάτων.