Ηλεκτρισμός
Benjamin Franklin (1706 - 1790)
Ο Φραγκλίνος εκτός από φυσικός ήταν πολιτικός, διπλωμάτης και εφευρέτης. Διαδραμάτισε σημαντικό ρόλο κατά την περίοδο της Αμερικανική...
James Clerk Maxwell (1831 - 1879)
Ο Μάξγουελ γεννήθηκε το 1831 στο Εδιμβούργο της Σκωτίας. Ηταν γιός ευγενή και έτσι του δόθηκε η δυνατότητα να φοιτήσει αρχικά στην...
Michael Faraday (1791 - 1867)
Ο Φαραντέι γεννήθηκε στην Αγγλία και ήταν χημικός και φυσικός. Μάλιστα θεωρείται ο μεγαλύτερος πειραματικός φυσικός όλων των εποχ...
Thomas Alva Edison (1847 - 1931)
Αμερικανός εφευρέτης, ο δημιουργός του φωνογράφου, του λαμπτήρα, της κινηματογραφικής μηχανής, του φθοροσκοπίου, των σ...
William Gilbert
Στήν Αγγλία γύρω στο 1600 μ.Χ ο Γουίλιαμ Γκίλμπερτ (William Gilbert), προσωπικός γιατρός της Βασίλισσας Ελισάβετ Α', ήταν ένας ...
Αρχαίοι Χρόνοι
Εξακόσια χρόνια π.Χ ένας Ελληνας μαθηματικός, αστρονόμος και φιλόσοφος, ο Θαλής ο Μιλήσιος, έκανε μερικά από τα πρώτα επιστημονικά ...
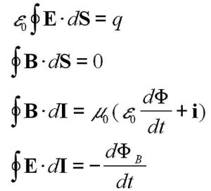
Γενική θεωρία ηλεκτρομαγνητισμού
Το 1867 ένας πολύ σημαντικός θεωρητικός φυσικός, ο Τζέημς Μάξγουελ (James Clerk Maxwell) έκανε μια σπουδαία τομή στην ...
Εναλλασσόμενο ρεύμα
Το ηλεκτρικό ρεύμα μπορεί να έχει σταθερή διεύθυνση, οπότε λέγεται συνεχές (DC), ή η διεύθυνση του να αντιστρέφεται συνεχώ...
Ζωικός ηλεκτρισμός
Το 1771 ένας Ιταλός ανατόμος, ο Λουίτζι Γκαλβάνι (Luigi Galvani), παρατήρησε τα εξής: Εκτελώντας ένα πείραμα με νεκρούς βα...
Η πρώτη ηλεκτροστατική μηχανή
Η κατασκευή της πρώτης ηλεκτροστατικής μηχανής έγινε το 1672 από το Γερμανό Όττο Βαν Γκέρικε (Otto Van Guericke).
Αυτή ...
Ηλεκτρικό φορτίο
Ως το 1752 υπήρχε διαχωρισμός του ηλεκτρισμού σε δύο "είδη". Αυτά τα "είδη" έγιναν συγκεκριμένα από τον Βενιαμίν Φραγκ...
Μπαταρία
Το 1800 ο Βόλτα (Alessandro Volta) ανέτρεψε τη θεωρία του Γκαλβάνι περί ζωικού ηλεκτρισμού και εξήγησε τα πειράματα του συμ...
Ο ηλεκτρισμός παράγει μαγνητισμό
Η αλληλοσύνδεση του ηλεκτρισμού και του μαγνητισμού είναι ένα γεγονός που προώθησε την επιστημονική έρευνα και επέφερε σημαντικές...
Ο ηλεκτρισμός το 2000
Καθώς τα αποθέματα κάρβουνου, πετρελαίου και φυσικού αερίου δεν είναι ανεξάντλητα, πρέπει να βρεθούν νέοι τρόποι παραγωγής ηλεκτ...
Ο μαγνητισμός παράγει ηλεκτρισμό
Πολύ σημαντική για την ιστορία του ηλεκτρισμού ήταν η συμβολή του Φαραντέι, ο οποίος το 1831 παρατήρησε ότι αν ένας κλει...
Ο νόμος του Coulomb
Οι πρώτες ποσοτικές μελέτες ηλεκτρικών φαινομένων τοποθετούνται στο 1785, οπότε ο Κουλόμπ (Charles Augustin De Coulomb) ...
Ο νόμος του Joule
Είναι γνωστό, ότι όταν ένας αγωγός διαρρέεται από ρεύμα, τότε θερμαίνεται. Αυτή η παρατήρηση ερευνήθηκε ποσοτικά από τον ʼγγλο φυσικό Τ...
Ο νόμος του Ohm
Γύρω στα 1825 ο Γεώργιος Ωμ (Georg Simon Ohm) απέδειξε οτι όλα τα υλικά σώματα, ακόμη και τα καλύτερα μέταλλα, εμφανίζουν αν...
Πρώτες εφαρμογές του ηλεκτρισμού
Ο Αμερικανός εφευρέτης Έντισον (Thomas Alva Edison) έθεσε ηλεκτρισμό και μαγνητισμό σε πρακτικές εφαρμογές στην τηλεγραφία, την τηλεφωνία ...
Ρεύμα από πυρηνική ενέργεια
Το 1956 έγινε στην Αγγλία ένα πολύ σημαντικό βήμα στην παραγωγή του ηλεκτρισμού. Εγκαινιάστηκε από τη Βασίλισσα Ελισάβε...
Τα δύο είδη ηλεκτρισμού
Ένας Γάλλος φυσικός, ο Ντυφέ (Francois de Gisternay Dufay), ανακοίνωσε το 1733 την ύπαρξη δυο τύπων ηλεκτρισμού.
Ο ένας,...
Το πείραμα του Franklin
Στο πείραμα αυτό ο Φραγκλίνος έδεσε ένα κλειδί στο μεταξένιο νήμα ενός χαρταετού, τον οποίο πέταξε στη διάρκεια μιας κατ...
Φιάλη του Leyden
Ενώ στο παρελθόν είχαν βρεθεί τρόποι παραγωγής στατικού ηλεκτρισμού (τρίψιμο κεχριμπαριού αλλά και κάποιες πρώτες γεννήτριες),...
Γεννήτρια Van der Graaf
Η γεννήτρια Βαν Ντερ Γκράαφ (Van Der Graaf) αντίθετα, χρησιμοποιείται, λόγω του τεράστιου φορτίου που συσσωρεύει, σε διάφορα ...
Γεννήτρια ηλεκτρικου ρεύματος
Η γεννήτρια είναι μια μηχανή που μετατρέπει την κινητική ενέργεια σε ηλεκτρική. Η λειτουργία των γεννητριών στηρίζεται στ...
Ηλεκτρικές συσκευές
Από τη στιγμή που ο ηλεκτρισμός έγινε προσιτός στη μέση οικογένεια, οι κατασκευαστές άρχισαν να ανακαλύπτουν συνέχεια καινο...
Ηλεκτρικός κινητήρας
Ο ηλεκτρικός κινητήρας δεν είναι τίποτε άλλο παρά μια μηχανή που δημιουργεί κίνηση καταναλώνοντας ηλεκτρισμό. Σ' έναν απλό ηλεκτροκινητήρα,...
Ηλεκτρομαγνήτης
Αν τυλίξουμε ένα λεπτό μονωμένο σύρμα, πυκνά γύρω από ένα μολύβι και έπειτα αφαιρέσουμε το μολύβι, δημιουργείται ένα "πηνίο"...
Ηλεκτρονική
Η επιστημονική κατανόηση της φύσης και της συμπεριφοράς των ηλεκτρονίων μέσω των διάφορων φαινομένων του ηλεκτρισμού οδήγησε στην κατ...
Ηλεκτροσκόπιο
Το ηλεκτροσκόπιο είναι μια απλή συσκευή με την οποία ανιχνεύουμε αν ένα σώμα είναι ηλεκτρισμένο. Αποτελείται από μια φι...
Ηλεκτροστατικές γεννήτριες
Ηλεκτροστατικές λέγονται οι γεννήτριες που παράγουν μόνο ηλεκτρικό φορτίο και όχι ηλεκτρικό ρεύμα.
Δύο τυπικοί εκπρόσωποι των...
Λαμπτήρας
Η πιο σημαντική ίσως εφαρμογή του ηλεκτρισμού είναι ο ηλεκτρικός λαμπτήρας. Ο φωτισμός στις μέρες μας είναι τόσο απλός,...
Μετασχηματιστής
Ο μετασχηματιστής είναι ένα όργανο με το οποίο μπορούμε να μεταβάλλουμε την τάση του ηλεκτρικού ρεύματος. Διαθέτει δύο πηνία, δηλαδή...
Μπαταρία
Σε ηλεκτρικό ρεύμα μπορεί να μετατραπεί κάθε άλλη μορφή ενέργειας (θερμική, πυρηνική, αιολική κ.λ.π.). Για τη μετατροπή τ...
Ο ηλεκτρισμός στη φύση
Ηλεκτρικά φαινόμενα εμφανίστηκαν στο σύμπαν από τις πρώτες κιόλας στιγμές του. Πάνω από τέσσερα δισεκατομμύρια χρόνια πριν...
Ο ηλεκτρισμός στην Ιατρική
Η ανθρώπινη ζωή εξαρτάται από διάφορα ηλεκτρικά φαινόμενα. Κάθε ένα περίπου δευτερόλεπτο, ο καρδιακός μυς μεταφέρει στοιχειώ...
Ο ηλεκτρισμός στις επικοινωνίες
Η συμβολή του ηλεκτρισμού στην τηλεπικοινωνία, τόσο την ενσύρματη όσο και την ασύρματη ήταν καθοριστική.
Μια πρώτη σημαντ...
Πυκνωτής
Οι πυκνωτές είναι οι μόνες ηλεκτρικές διατάξεις (με εξαίρεση τις μπαταρίες), που αποθηκεύουν ηλεκτρικό φορτίο. Παρότι ...
Τι είναι το ηλεκτρικό ρεύμα
Όλα τα υλικά σώματα αποτελούνται από άτομα. Κάθε άτομο με τη σειρά του αποτελείται από έναν πυρήνα, γύρω από τον οποίο π...
Αιολικός σταθμός
Η μετατροπή της αιολικής ενέργειας σε μηχανική είναι μια πολύ παλιά ιστορία.
Οι ανεμόμυλοι εκμεταλλεύονταν τον άνεμο για άντ...
Ηλεκτρικό δίκτυο
Μια τυπική γεννήτρια ηλεκτροπαραγωγικού σταθμού, δίνει εναλλασσόμενη τάση της τάξης των 25.000 Volt.
Έξω από τους ηλεκτροπαραγωγι...
Ηλιακοί σταθμοί
Η ηλιακή ενέργεια έχει δύο βασικά πλεονεκτήματα: Είναι ανεξάντλητη και δε μολύνει το περιβάλλον.
Τα τελευταία χρόνια έχουν ...
Θερμοηλεκτρικός σταθμός
Οι θερμοηλεκτρικοί σταθμοί λέγονται και ατμοηλεκτρικοί, γιατί εκμεταλλεύονται τη δύναμη του ατμού. Τέτοιοι σταθμοί έχουν έναν ή περισσότερους κεντ...
Πυρηνικός σταθμός
Οι διάφοροι τύποι πυρηνικών σταθμών λειτουργούν με βάση την αρχή ό,τι ελάχιστες ποσότητες ραδιενεργού ύλης μπορούν να μ...
Σταθμοί παραγωγής ηλεκτρικού ρεύματος
Ηλεκτρική ενέργεια μπορούμε να πάρουμε πρακτικά από κάθε άλλη μορφή ενέργειας. Παρ' όλα αυτά όμως δόθηκε ιδιαίτερο βάρος (όπω...
Υδροηλεκτρικός σταθμός
Η δύναμη της βαρύτητας κινεί το νερό των ποταμών προς τη θάλασσα. Ο υδροηλεκτρικός σταθμός παρεμβάλλεται σ' αυτήν τη ρ...
Διακόπτης Ελαίου
Διακόπτης ελαίου για ρεύμα ισχύος.
Χρησιμοποιείται για μακρόχρονη δίοδο ρευμάτων και διακοπή πολύ ισχυρών ρευμάτων βραχυκύ...
Σύστημα ΤΑΣ
Τηλεχειρισμός Ακουστικής Συχνότητας.
Με το σύστημα ΤΑΣ επιτυγχάνεται ο εξ αποστάσεως χειρισμός μεγάλου αριθμού επαφών που έχουν ...



















































